教育收益率
什么是教育收益率[1]
教育收益率是指受教育者因接受教育而使个人收入增加的程度。
估算教育收益率是教育经济学研究的主要内容,也是劳动经济学和收入分配研究关注的重大问题,一般通过抽样调查获得所需变量的信息,然后建立经济计量模型估算教育收益率。由于教育投资可以给受教育者带来私人收益(private benefits),也可以给社会带来社会收益(social benefits),因此可以分别估算教育投资的个人收益率和社会收益率。自20世纪60年代人力资本理论创立以后,大批实证研究估算出了教育的收益率,结果表明对学校教育的投资的确能够提高个人和社会未来的收入水平。
教育收益率的计量[2]
一般说来,计算教育收益率最常用的方法有两种,一种属于成本——收益分析法的范畴,称之为精确法(或代数法);另一种则建立在收入函数之上,称之为收入函数法。需要指出的是计算教育投资收益率首先必须确认教育的收益,而最能直观体现教育与收益关系的工具就是年龄——收益剖面图,可以说对年龄——收益剖面图的分析是教育经济学研究教育收益率的起点。
(一)年龄——收入剖面图及其特点
年龄——收益剖面图如下图所示:
年龄——收益剖面图是由不同教育水平的年龄——收入曲线所构成。在每一年龄——收入曲线上,不同年龄所对应收入数据的获得,一般有两种方法:一是利用年度收入普查材料获得各种不同年龄群体的收入差异(以教育程度划分),即所谓的横截面数据。二是追踪一组人,观察并记录其收入变化,若不存在经济波动,也可以得到与综合横截面结构大体类似的性质。由于该种方法所需时间较长,且操作困难,因此,目前所得到年龄——收入数据大多采用了第一种方法。
年龄——收入剖面图体现的年龄——收入——教育三者间的关系具有如下几个方面的特点:
第一,教育与收入正相关,在任何年龄上都是受教育水平越高的人所获得的收入越多。
第二,无论教育水平高低,所有人的收入都随年龄增加而增加,直到某一年龄达到最大,尔后曲线变平或者开始下降(生命周期收入以一种减速方式增长)。
第三,与受教育水平较低者相比,受教育水平较高者的年龄——收入曲线更陡,且达到最高收入能力的年龄较晚。
(二)精确法
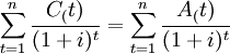
精确法也称内部收益率法,源于凯恩斯的资本边际效率,根据凯恩斯的定义,资本的边际效率(MEC)是一种贴现率,这种贴现率正好使一项资本物品使用期内各项预期收益现值之和等于这项资本品的供给价格或重置成本。公式为:
C(t)为t年所投资金,A(t)为t年预期收益,i为边际效率。
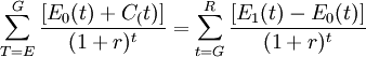
由于教育支出也是一种投资性支出,因此,这种成本——收益分析的方法也可用于教育。其基本方程式为:
E_0(t)为因就学而放弃的收入或叫机会成本;C(t)表示直接教育成本;E1(t) − E0(t)表示接受高一级教育所带来的净收入额;E和G分别表示所考察某一级教育的入学和毕业时间,即G-E表示该级教育所需的时间;R表示退休时间;r即为所求教育收益率(或称教育内部收益率),其含义等同于凯恩斯的资本边际效率,可以简单理解为使利润为零,从而使教育投资刚好是值得的一种假设利率。运用这种方法求得的收益率又可分为私人收益率和社会收益率。私人收益率是计算个人的教育成本和教育收益,方式中有E0(t)和E1(o)为税后收入,C(t)为个人所支付的直接成本加上个人的放弃收入再减去各种资助。在计算社会收益率时,方程式中E0(t)和E1(t)为税前收入,C(t)为有关学校系统的总成本。
(三)收入函数法
收入函数法,又称明瑟收入函数法。由明瑟收入函数法所计算出的收益率称为明瑟收益率。这种方法是美国经济学家雅可布·明瑟(J.Mincer)根据收益剖面图推导而出的,旨在对收益剖面图作出一种数学上和经济上的说明。他认为,任何时期的收益都可以被看成是技能水平——体现在个人身上和到此为止由他所积累起来的人力资本存量——的一种报酬,既然这种资本存量的规模在整个生命周期中通过投资而增长,同时又由于知识价值降低和过时而减少,因而收益也相应改变。收益剖面图的平均水平取决于总的投资(包括天资),截距取决于迄止观察期以前的投资,增长中的变化率反映着整个生命周期中投资下降的速度。据他经过一系列推导和近似处理,得到这样一个等式:
其中Yt为t的时期观察到的净收入;rs为某一级学校教育的私人收益率;S为某一级学校教育所需的年限;rp为学校教育后人力投资的收益率;K0 − K0 / T为学校教育后的线性投资函数,反映人力资本随时间延长而下降;T为净投资时期;Ln(1 − Kt)为误差项;E0为观察期前的收益能力,若观察起点为零岁,可以把E0看成是遗传和出生时健康状况的报酬;如果观察的起点为学校教育之后,E0则为遗传和家庭与学校教育投资的混合物。LnYt对t求导,令导数为零,可获得观察到收入的高峰时间为t = T + 1 / rp ,T<t<T* (T*为一生的工作年限)。上述方程中,由于K0和rp无法加以区分,单独估算学校教育的影响rs仍然存在一定困难。于是明瑟又将收益和工资率进行区别,这样就可以将K0和T制作的学校教育后投资剖面图的收益估计与这些投资收益率rp区分开来。设λ为某人某年的实际工作时数与标准工作时数的比率,为全日制工作的收益能力,为观察到的全日制工作投入,再经过一些近似处理,即可得到全日制工作收益和工资率方程:
在这一方程中所有的参数均可以估算出来,包括rs,rp及线性投资剖面图Kt = K0 − K0t / T和T。若令Ln为a,rs为b,t为EX,rpK0λ为c, − rPK0λ / 2T为d,K0ti / T为ε,又可以得到目前一些著作和教育经济学教科书中所使用的明瑟收入函数的简化形式:
LnY = a + bS + cEX + d(EX)2 + ε
式中b、c、d为回归系数,其中b为教育收益率,S为某一级学校教育所需的年限,EX为工作年限(劳动力市场上工作经历), ε为误差项。明瑟收益率的含义是:在相同工作年限条件下,多接受一年教育的就业者收入比未接受该年教育的就业者的收入的变化率。
明瑟收益率是利用明瑟收入函数计算出的教育边际收益率,反映了受教育者多受一年教育收入的变化率。由精确法所计算出的收益率在计算时需要有教育成本和完成教育者的就业收入两方面的数据,而估算明瑟收益率只需要毕业生收入数据。由于精确法计算教育收益率对数据的要求比较高,在大多数国家,特别是发展中国家(包括中国),很难采集到研究所需的高质量数据,因而运用这种方法的普遍性受到限制。相比较而言,明瑟收益率方法易于操作,其有效性也得到认可,所以应用比较广泛。
教育收益率与教育经济收益的区别[2]
教育经济效益与教育效率有所不同,前者反映的是教育的间接产出与教育投入的比较关系,后者反映的是教育的直接产出与教育投入的比较关系,这是由于教育活动不同于经济活动,它的产出有直接产出和间接产出之分。教育活动的直接产出是指受教育者劳动能力的提高,通常以各级各类学校培养的各种熟练程度不同的劳动者和专门人才来表示。教育的间接产出则指这些劳动者和专门人才进入社会经济领域后,所带来的国民收入(国民生产总值)或个人收入的增长。
在我国的教育和学校管理工作中,常常将教育效率与教育经济效益混为一谈,把教育经济效益当作教育效率。例如说,要“提高教育经济效益”,“要提高办学效益”,它指的是要提高教育或学校的资源利用效率,也就是我们通常所说的,要以较少的教育投入,培养较好、较多的学生。
参考文献
- ↑ 林道立,刘正良.经济发展水平与教育收益率:一个文献综述[J].重庆高校研究,2013(2)
- ↑ 2.0 2.1 第七章 教育经济效益.教育经济学.东北师范大学精品课程
免责声明:本内容来源于第三方作者授权、网友推荐或互联网整理,旨在为广大用户提供学习与参考之用。所有文本和图片版权归原创网站或作者本人所有,其观点并不代表本站立场。如有任何版权侵犯或转载不当之情况,请您通过400-62-96871或关注我们的公众号与我们取得联系,我们将尽快进行相关处理与修改。感谢您的理解与支持!







请先 登录后发表评论 ~