麦考利久期
麦考利久期(Macaulay duration)
什么是麦考利久期
在1938年,麦考利就将期限效应和息票效应相结合,提出了麦考利久期,以描述债券价格的波动性[1]
久期的概念最早是麦考利 (Frederick Robertson Macaulay (1882.8.12–1970.3) )在1938年提出来的,所以又称麦考利久期(简记为MacD)。麦考利久期是使用加权平均数的形式计算债券的平均到期时间。它是债券在未来产生现金流的时间的加权平均,其权重是各期现值在债券价格中所占的比重。
具体的计算将每次债券现金流的现值除以债券价格得到每一期现金支付的权重,并将每一次现金流的时间同对应的权重相乘,最终合计出整个债券的久期。
“久期”又叫“持续期”,要归功于F·R·麦考利,他在1938年提出要通过衡量债券的平均到期期限来研究债券的时间结构。当被运用于不可赎回债券时,麦考利久期就是以年数表示的可用于弥补证券初始成本的货币时间价值的加权平均。久期对于财务经理的主要价值在于它是衡量利率风险的直接方法,久期越长,利率风险越大。麦考利久期有如下假设:收益率曲线是平坦的;用于所有未来现金流的贴现率是固定的。
保罗·萨缪尔森、约翰·斯克斯和瑞丁敦在随后的若干年独立地发现了久期这一理论范畴,特别是保罗·萨缪尔森和瑞丁敦将久期用于衡量资产/负债的利率敏感性的研究,使得久期具有了第二种含义,即:资产针对利率变化的价格变化率。
久期的第二个含义是债券投资管理中的一个极其重要的策略——“免疫策略”的理论基础,根据该策略,当交易主体债券组合的久期与债权的持有期相等的时候,该交易主体短期内就实现了“免疫”的目标,即短期内的总财富不受利率波动的影响。
但是运用这一策略的前提则是,现有久期概念能否正确地衡量未来任何利率变动情景下债券价格的变动情况。
久期的用途
当利率发生变化时,迅速对债券价格变化或债券资产组合价值变化作出大致的估计。久期是固定收入资产组合管理的关键概念有以下几个原因:
- 1、它是对资产组合实际平均期限的一个简单概括统计。
- 2、风险管理:它被看做是资产组合免疫与利率风险的重要工具。
- 3、是资产组合利率敏感性的一个测度,久期相等的资产对于利率波动的敏感性一致。
在债券分析中,久期已经超越了时间的概念,投资者更多地把它用来衡量债券价格变动对利率变化的敏感度,并且经过一定的修正,以使其能精确地量化利率变动给债券价格造成的影响。修正久期越大,债券价格对收益率的变动就越敏感,收益率上升所引起的债券价格下降幅度就越大,而收益率下降所引起的债券价格上升幅度也越大。可见,同等要素条件下,修正久期小的债券比修正久期大的债券抗利率上升风险能力强,但抗利率下降风险能力较弱。
正是久期的上述特征给我们的债券投资提供了参照。当我们判断当前的利率水平存在上升可能,就可以集中投资于短期品种、缩短债券久期;而当我们判断当前的利率水平有可能下降,则拉长债券久期、加大长期债券的投资,这就可以帮助我们在债市的上涨中获得更高的溢价。
需要说明的是,久期的概念不仅广泛应用在个券上,而且广泛应用在债券的投资组合中。一个长久期的债券和一个短久期的债券可以组合一个中等久期的债券投资组合,而增加某一类债券的投资比例又可以使该组合的久期向该类债券的久期倾斜。所以,当投资者在进行大资金运作时,准确判断好未来的利率走势后,然后就是确定债券投资组合的久期,在该久期确定的情况下,灵活调整各类债券的权重,基本上就能达到预期的效果。
债券价格与市场利率的关系
- 较长期限的债券价格变动幅度大于较短期限的债券价格变动幅度。
- 息票额较大的债券的变动幅度小于息票额较低的债券的变动幅度。
对于各种不同期限、不同票息额的债券,能否找到一种共同具备的特征量,由该特征量就可以简单比较出不同债券的价格变化呢?
答案是存在的,即每一种债券都存在一个叫做“久期”的特征量。“久期”是资产组合利率敏感性的一个测度,久期相等的资产对于利率波动的敏感性是一致的。
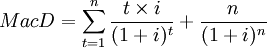
麦考利久期的计算公式
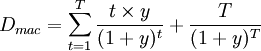
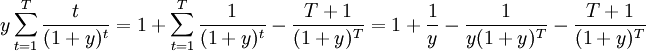
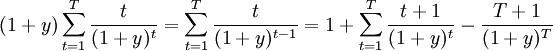
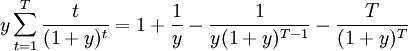
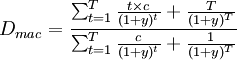
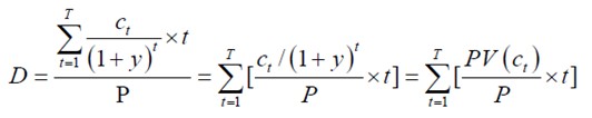
久期也称为麦考利期限,或有效期限,或存续期间。简单的说,它是债券的各期未来现金流到期期限的加权平均。每一期未来现金流的到期期限的权数,对应为,每一期未来现金流的现值与债券现行价格的比重。
一张T年期债券,t时刻的现金支付为Ct (1≤t≤T),与债券的风险程度相适应的收益率为y。
- t时刻现金流Ct的现值
- 债券的现行价格为所有各期未来现金流的现值的加总
- 下面这个公式给出了理解麦考利久期的方法。它表明时间的绝对数权重是每期收到的现金流的现值。每一贴现的现金流都代表了债券现金流现值的一部分。如果加总债券所有的贴现现金流,就得到了债券的价格。
- t时刻现金流的时间t对应的相对数权重为Wt,权重总和为1。
- 债券久期的具体计算:将每次债券现金流的现值除以债券价格得到每一期现金支付的权重,并将每一次现金流的时间同对应的权重相乘,最终合计出整个债券的久期。
(公式1)
其中,
- MacD是麦考利久期,
- PB是债券当前的市场价格,即债券的现行价格
- PV(Ct)是债券未来第t期可现金流(利息或资本)的现值,
- T是债券的到期时间。
- t为从当前到t时刻现金流发生的持续时间。
- y为债券的风险程度相适应的收益率。假设未来所有现金流的贴现率都固定为y。
需要指出的是在债券发行时以及发行后,都可以计算马考勒久期。计算发行时的马考勒久期,T(到期时间)等于债券的期限;计算发行后的马考勒久期,T(到期时间)小于债券的期限。
- 注意,从上式中求出的久期是以期数为单位的,我们还要把它除以每年付息的次数,转化成以年为单位的久期。
例:面值为100 元,票面利率为8%的三年期债券,半年付息一次,下一次付息在半年后。如果到期收益率为10%,计算它的麦考利久期。
解:该债券的麦考利久期是5.4351个半年,也就是5.4351/2=2.7176年
麦考利久期的一般公式
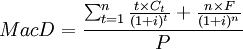
任一金融工具的久期公式一般可以表示为[1]:
(公式2)
其中:
- D为久期;
- t为该金融工具从当前到t时刻现金流发生的持续时间;
- Ct为第t期的现金流;
- F为该金融工具的面值或到期日价值;
- n为到期期限;
- i是当前的市场利率。
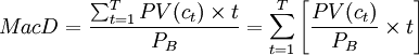
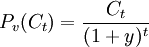
实际上,公式(公式3)的分母正是该金融工具的市场价值,因此,久期公式又可表示为:
(公式3)
其中:P表示该金融工具的市场价值或价格。
麦考利久期的计算过程举例[1]
下面试举一例来说明久期的计算过程。假设面额为1000元的3年期变通债券,每年支付一次息票,年息票率为10%,此时市场利率为12%,则该种债券的久期为:
(年)
如果其他条件不变,市场利率下跌至5%,此时该种债券的久期为:
(年)
同理,如果其他条件不变,市场利率上升至20%,此时久期为:
(年)
再者,如果其他条件不变,债券息票率为0,那么:
(年)
从上面的计算结果可以发现:
- 久期随着市场利率的下降而上升,随着市场利率的升而下降,这说明两者存在反比关系。
- 在持有期间不支付利息的金融工具,其久期等于到期期限或偿还期限。
- 那些分期付息的金融工具,其久期总是短于偿还期限,是由于同等数量的现金流量,早兑付的比晚兑付的现值要高。
- 金融工具到期期限越长其久期也越长;
- 金融工具产生的现金流量越高,其久期越短。
麦考利久期定理
麦考利久期定理:关于麦考利久期与债券的期限之间的关系存在以下6个定理:
- 定理1:只有贴现债券的麦考利久期等于它们的到期时间。
- 定理2:直接债券的麦考利久期小于或等于它们的到期时间。只有仅剩最后一期就要期满的直接债券的麦考利久期等于它们的到期时间,并等于1。
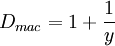
- 定理3:统一公债的麦考利久期等于(1+1/r),其中r是计算现值采用的贴现率。
- 定理4:在到期时间相同的条件下,息票率越高,久期越短。
- 定理5:在息票率不变的条件下,到期时期越长,久期一般也越长。
- 定理6:在其他条件不变的情况下,债券的到期收益率越低,久期越长。
麦考利久期与债券价格的关系
将债券价格公式看作P与1+y之间的函数,可以有
对于P和1+y的微小变化,有
这表明,债券价格的利率敏感性与久期成比例。久期的经济意义:债券价格对利率微小变动时的敏感度。对于给定的收益率变动幅度,麦考利久期越大,债券价格的波动幅度越大:
例:设有一张6年期的公司债,票面利率为8%,而市场要求利率为8%,已知久期为4.993。若当期利率上升一个基本点,也就是从8%上升到8.01%,则此公司债券价格会如何变动
麦考利久期法则
影响利率敏感性的因素包括到期期限、息票利率和到期收益率。以下法则归纳了久期与这三个因素之间的关系。
- 零息票债券的久期等于到它的到期时间。
- 当到期日相同时,债券的久期随息票利率的降低而延长。
- 当息票利率相同时,债券的久期随到期时间的增加而增加。但久期的增加速度慢于到期期限的增加速度。
- 其他因素不变,债券的到期收益率较低时,息票债券的久期较长。
- 由于息票债券以面值出售,麦考利久期一般(公式3)可简化为
麦考利久期的局限性
- 假设价格收益率曲线是线性的
- 假设利率期限结构是平坦的
- 假设未来现金流不随利率变化而变化
- 假设收益率曲线是平行移动的
债券价格变化的百分比作为到期收益率变化的函数,其图形是一条斜率为 − Dmod的直线。因此,当债券收益变化时,可以这条直线对新产生的价格进行估计。
然而,债券价格变化的百分比与收益变化之间的关系并不是线性的,这使得对于债券收益的较大变化,利用久期对利率敏感性的测度将产生明显的误差。图4-3表明了这一点。债券A和债券B在初始处有相同的久期,相应的两条曲线在这一点相切,同时也与久期法则预期的价格变化百分比的直线相切于该点。这说明,对于债券收益的微小变化,久期可以给出利率敏感性的精确测度。但随着收益变化程度的增加,对应于债券A和债券B的两条曲线与久期近似直线之间的“间隔”不断扩大,表明久期法则越来越不准确。
从图4-3还可以看到,久期近似值总是在债券实际价格的下方。也就是说,当收益率下降时,它低估债券价格的增长程度,当收益率上升时,它高估债券价格的下跌程度。
债券A和债券B在初始处有相同的久期,但它们只是对较小的收益变化的敏感程度相同。对于较大的收益变化,债券A比债券B有更大的价格增长或更小的价格下跌。这是因为债券A比债券B具有更大的凸度。
简化麦考利久期的计算公式
息票债券的久期
- c表示每期票面利率
- y表示每期到期收益率
- T表示距到期日的期数
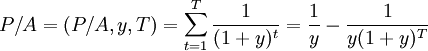
- 年金现值系数(Annuity factor)=P/A=(P/A,i,n)
∵
∴
∴
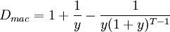
麦考利久期一般(公式2)可简化为,
根据年金计算方法,再加以数学推导得:
- ★
当息票债券平价出售时,到期收益率与票面利率相等,可进一步简化公式。麦考利久期一般(公式3)可简化为
永续债券的久期
一种特殊情况,年金的麦考利久期。固定期限年金的麦考利久期公式简化为:
永续债券的久期有限,而它的到期期限却是无穷大。
久期在债券投资中的应用
利用久期控制利率风险
在债券投资里,久期可以被用来衡量债券或者债券组合的利率风险,一般来说,久期和债券的到期收益率成反比,和债券的剩余年限及票面利率成正比。对于一个普通的附息债券,如果债券的票面利率和其当前的收益率相当的话,该债券的久期就等于其剩余年限当一个债券是贴现发行的无票面利率债券,那么该债券的剩余年限就是其久期。债券的久期越大,利率的变化对该债券价格的影响也越大,因此风险也越大。在降息时,久期大的债券上升幅度较大;在升息时,久期大的债券下跌的幅度也较大。因此,预期未来升息时,可选择久期小的债券。在债券分析中久期已经超越了时间的概念,投资者更多地把它用来衡量债券价格变动对利率变化的敏感度,并且经过一定的修正,以使其能精确地量化利率变动给债券价格造成的影响。修正久期越大,债券价格对收益率的变动就越敏感,收益率上升所引起的债券价格下降幅度就越大,而收益率下降所引起的债券价格上升幅度也越大。
债券对利率变动的反应特征如下:债券价格与利率变化反向变动;在给定利率变化水平下,长期债券价格变动较大,因此债券价格变化直接与期限有关;随着到期时间的增加,债券对于利率变化的敏感度是以一个递减的速度增长;由相同幅度的到期收益率的绝对变化带来的价格变化是非对称的,具体来说,在期限给定条件下,到期收益率降低引起的价格上升,大于到期收益率上升引相同幅度起的价格下降;票息高的债券比那些票息低的债券对利率的敏感性要低。
利用久期进行免疫
所谓免疫,就是构建这样的一个投资组合,在组合内部,利率变化对债券价格的影响可以互相抵消,因此组合在整体上对利率不具有敏感性。而构建这样组合的基本方法就是通过久期的匹配,使附息债券可以精确地近似于一只零息债券。利用久期进行免疫是一种消极的投资策略,组合管理者并不是通过利率预测去追求超额报酬,而只是通过组合的构建,在回避利率波动风险的条件下实现既定的收益率目标。在组合品种的设计中,除了国债可以选入组合外,部分收益率较高的企业债券及金融债券也能加入投资组合,条件是控制好匹配的久期。
但是,免疫策略本身带有一定的假设条件,比如收益率曲线的变动不是很大,到期收益率的高低与市场利率的变化之间有一个平衡点,一旦收益率确实发生了很大的变动,则投资组合不再具有免疫作用,需要进行再免疫,或是再平衡;其次,免疫严格限定了到期支付日,对于那些支付或终止期不能确定的投资项目而言并不是最优;再次,投资组合的免疫作用仅对于即期利率的平行移动有效,对于其他变动,需要进一步拓展应用。
利用久期优化投资组合
进行免疫后的投资组合,虽然降低了利率波动的风险,但是组合的收益率却会偏低。为了实现在免疫的同时也能增加投资的收益率,可以使用回购放大的办法,来改变某一个债券的久期,然后修改免疫方程式,找到新的免疫组合比例,这样就可以提高组合的收益率。但是,在回购放大操作的同时,投资风险也在同步放大,因此要严格控制放大操作的比例。
相关条目
- 久期
- 凸性
- 修正久期
- 封闭式久期
- 有效久期
- 债券定价原理
- 免疫策略
参考文献
免责声明:本内容来源于第三方作者授权、网友推荐或互联网整理,旨在为广大用户提供学习与参考之用。所有文本和图片版权归原创网站或作者本人所有,其观点并不代表本站立场。如有任何版权侵犯或转载不当之情况,请您通过400-62-96871或关注我们的公众号与我们取得联系,我们将尽快进行相关处理与修改。感谢您的理解与支持!







请先 登录后发表评论 ~