定基发展速度
什么是定基发展速度
定基发展速度是时间序列中报告期期发展水平与固定基期发展水平对比所得到的相对数,说明某种客观现象在较长时期内总的发展方向和速度,故亦称为“总速度”。即报告期的水平是该固定基期的多少倍或百分之多少。
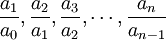
如,“九五”期间各年水平都以1995年水平为基期进行对比,一年内各月水平均以上年12月水平为基期进行对比,就是定基发展速度。但实际工作中多用于分析年的总速度。
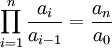
定基发展速度的公式
定基发展速度公式表示为:
如,1-5月企业利润总额分别为31万、35万、36万、38万、41万。则2-5月的定基发展速度分别为35/31、36/31、38/31、41/31
定基发展速度与环比发展速度的关系
环比发展速度是时间序列中报告期发展水平与前期发展水平之比,说明某种客观现象的逐期发展方向和速度。即报告期是上一期的多少倍或百分之多少。
不难看出,定基发展速度与环比发展速度存在一定的数量关系:
1、相邻若干个环比发展速度的连乘积等于相应的定基发展速度。
2、相邻两个定基发展速度之商等于相应的环比发展速度。
免责声明:本内容来源于第三方作者授权、网友推荐或互联网整理,旨在为广大用户提供学习与参考之用。所有文本和图片版权归原创网站或作者本人所有,其观点并不代表本站立场。如有任何版权侵犯或转载不当之情况,请您通过400-62-96871或关注我们的公众号与我们取得联系,我们将尽快进行相关处理与修改。感谢您的理解与支持!







请先 登录后发表评论 ~