等级相关系数
等级相关系数(Coefficient of Rank Correlation)
什么是等级相关系数
在实际应用中,有时获得的原始资料没有具体的数据表现,只能用等级来描述某种现象,要分析现象之间的相关关系,就只能用等级相关系数。
等级相关系数亦称为“秩相关系数”,是反映等级相关程度的统计分析指标。常用的等级相关分析方法有Spearman等级相关和Kendall等级相关等。
等级相关系数的计算步骤
1、把数量标志和品质标志的具体表现按等级次序编号。
2、按顺序求出两个标志的每对等级编号的差。
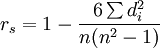
3、按下式计算相关系数:
其中:等级相关系数记为rs,di为两变量每一对样本的等级之差,n为样本容量。
等级相关系数与相关系数一样,取值-1到+1之间,rs为正表示正相关,rs为负表示负相关,rs等于零为零相关,区别是它是建立在等级的基础上计算的,较适用于反映序列变量的相关。
免责声明:本内容来源于第三方作者授权、网友推荐或互联网整理,旨在为广大用户提供学习与参考之用。所有文本和图片版权归原创网站或作者本人所有,其观点并不代表本站立场。如有任何版权侵犯或转载不当之情况,请您通过400-62-96871或关注我们的公众号与我们取得联系,我们将尽快进行相关处理与修改。感谢您的理解与支持!







请先 登录后发表评论 ~