交替标志
交替标志(Alternate Mark)
什么是交替标志[1]
在统计研究中,有时把被研究的社会经济现象的全部单位,按是否具有某一标志分为两组。当标志按“是否”或“有无”表示时,统计中叫交替标志。它在总体单位间以两种形式出现,非此即彼。交替标志主要用于反映总体单位间性质上的差别。
交替标志的平均数和标准差
交替标志也可以计算平均数和标准差,在抽样调查进行抽样推断时就需要这种计算。
交替标志的平均数的内容[2]
交替标志平均数加权算术平均数不仅可以反映总体各单位数量标志值的一般水平,还可以反映某些品质标志的一般水平。在所研究的现象中,有许多品质标志,它们在总体各单位只有属性上的差异,无法直接计算其平均的属性差异。统计实务中,常常是将此类现象各单位问的詹陛差异先数量化,然后再计算其算术平均数,以反映其质量的一般水平。
交替标志又称是非标志。它是指总体中的各总体单位,某些单位具有某种属性,而其他一些单位则不具有某种属性。例如,一批产品中,一些是合格品,另一些是不合格品;一批种子,有些会发芽,另一些则不发芽。这些将总体单位划为“是”或“否”、“有”或“无”两类的标志叫交替标志。交替标志只有质的差别,不能直接计算平均数,我们先将它们过渡到量的差异上来。以1作为具有某种属性的单位标志值,以0作为不具有某种属性的单位标志值,如上例中,我们就可以用1表示合格品的标志值,0表示不合格品的标志值。这样就将交替标志过渡到(0,1)的数量标志了。
若全部总体单位数用N表示,其中具有某种属性的总体单位数为N1,不具有某种属性的总体单位数为N2,则
具有某种属性的单位数所占比重
;
不具有某种属性的单位数所占比重
。
可以证明P+Q=1
则可用比重权数公式计算交替标志的平均数,公式为
例1
某厂去年生产的产品中,合格率为98%,通过表1,可计算该厂产品的平均合格率。
表1 某场去年生产的产品平均合格率计算
由此可见,该厂产品平均合格率为98%就是这批产品的合格率,也就是说,交替标志的总体中,具有某种属性的成数P就是这一总体(0,1)标志的加权算术平均数。
交替标志的标准差的内容[3]
交替标志的标准差,就是具有某一标志值的单位在总体中的成数和不具有某一标志值的单位在总体中的成数二者乘积的平方根。它反映了交替标志的差异程度。其计算公式为:
即
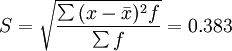
例2
在某县31个乡镇抽取专业户样本296个中,有技术特长的有243户,无技术特长的为53户,其交替标志的平均数和标准差如下:
表2 交替标志平均数和标准差计算表
参考文献
- ↑ 社会统计学 第四章 综合指标 第七节 三、交替标志的平均数与标准差.中国地质大学网络教育
- ↑ 谢启南,韩兆洲主编.经济学原理(第五版).暨南大学出版社,2003.08
- ↑ 秦宗熙 穆怀中等主编.人类社会研究法 第1版.武汉大学出版社,1987.08
免责声明:本内容来源于第三方作者授权、网友推荐或互联网整理,旨在为广大用户提供学习与参考之用。所有文本和图片版权归原创网站或作者本人所有,其观点并不代表本站立场。如有任何版权侵犯或转载不当之情况,请您通过400-62-96871或关注我们的公众号与我们取得联系,我们将尽快进行相关处理与修改。感谢您的理解与支持!







请先 登录后发表评论 ~