肯德尔和谐系数
肯德尔和谐系数(the kandall coefficient of concordace)
肯德尔和谐系数的概念
肯德尔和谐系数是计算多个等级变量相关程度的一种相关量。前述的spearman等级相关讨论的是两个等级变量的相关程度,用于评价时只适用于两个评分者评价N个人或N件作品,或同一个人先后两次评价N个人或N件作品,而kandall和谐系数则适用于数据资料是多列相关的等级资料,即可是k个评分者评(N)个对象,也可以是同一个人先后k次评N个对象。通过求得kandall和谐系数,可以较为客观地选择好的作品或好的评分者。
肯德尔和谐系数的公式与计算[1]
以下用W表示肯德尔和谐系数
(1)同一评价者无相同等级评定时,W的计算公式:
(1)
式中:N—被评的对象数; K—评分者人数或评分所依据的标准数;
S—每个被评对象所评等级之和Ri与所有这些和的平均数
的离差平方和,即
当评分者意见完全一致时,S取得最大值
可见,和谐系数是实际求得的S与其最大可能取值的比值,故0≤W≤1。
(2)同一评价者有相同等级评定时,W的计算公式:
(2)
式中K、N、S的意义同(1)式,
这里mi为第i个评价者的评定结果中有重复等级的个数,nij为第i个评价者的评定结果中第j个重复等级的相同等级数。
对于评定结果无相同等级的评价者,Ti = 0,因此只须对评定结果有相同等级的评价者计算Ti。
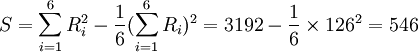
【例1】 某校开展学生小论文比赛,请6位教师对入选的6篇论文评定得奖等级,结果如下表所示,试计算6位教师评定结果的kandall和谐系数。
解:由于每个评分老师对6篇论文的评定都无相同的等级,故用公式(1),由表中数据得:
(由W=0.87表明6位老师的评定结果有较大的一致性)
【例2】 3名专家对6篇心理学论文的评分经等级转换如下表所示,试计算专家评定结果的肯德尔和谐系数
解:由于专家甲、丙对6篇论文有相同等级的评定,故用公式(2)计算W:
甲T = 23 − 2 = 6
丙T = (23 − 2) + (23 − 2) = 12
由W=0.85可看出专家评定结果有较大的一致性。
肯德尔和谐系数的显著性检验
1、当评分者人数(k)在3-20之间,被评者(N)在3-7之间时,可查《肯德尔和谐系数(W)显著性临界值表》,检验W是否达到显著性水平。若实际计算的S值大于k、N相同的表内临界值 ,则W达到显著水平。
例如例3中,K=6 N=6,查表得检验水平分别为α = 0.01,α = 0.05的临界值各为S0.01 = 282.4,S0.05 = 221.4,均小于实算的S=546,故W达到显著水平,认为6位教师对6篇论文的评定相当一致。
2、当被评者n>7时,则可用如下的x2统计量对W是否达到显著水平作检验。
设H0:评价者意见不一致
则:
(3)
对给定的水平α,由
,查df=N-1的X2分布表得临界值为分位数
,将计算出的kandall系数W等代入(3)式计算X2值
若
则拒绝H0,认为评分者的意见显著一致。
若
则H0认为评分者的评判显著不一致。
例如,在一次教学评价中,10位评价者对12项指示进行评价,已计算出W=0.65,需检验评价者的意见是否有显著的一致性(α = 0.01)。
将k=10 N=12 W=0.65代入(3)计算得
查表得
故认为10位评价者对12个指标的评价具有显著的一致性。
参考文献
- ↑ 杨宗义.教育统计学[M].科学技术文献出版社,1990年08月第1版.
免责声明:本内容来源于第三方作者授权、网友推荐或互联网整理,旨在为广大用户提供学习与参考之用。所有文本和图片版权归原创网站或作者本人所有,其观点并不代表本站立场。如有任何版权侵犯或转载不当之情况,请您通过400-62-96871或关注我们的公众号与我们取得联系,我们将尽快进行相关处理与修改。感谢您的理解与支持!







请先 登录后发表评论 ~