柯西分布
柯西分布(Cauchy distribution)
什么是柯西分布
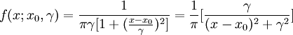
柯西分布也叫柯西-洛伦兹分布,它是以奥古斯丁·路易·柯西与亨德里克·洛伦兹名字命名的连续概率分布,其概率密度函数为:
X0是定义分布峰值位置的位置参数,γ是最大值一半处的一半宽度的尺度参数。
作为概率分布,通常叫作柯西分布,物理学家也将之称为洛伦兹分布或者Breit-Wigner分布 。在物理学中的重要性很大一部分归因于它是描述受迫共振的微分方程的解。在光谱学中,它描述了被共振或者其它机制加宽的谱线形状。在下面的部分将使用柯西分布这个统计学术语。
柯西分布的特性
其累积分布函数为:
柯西分布的逆累积分布函数为
柯西分布的平均值、方差或者矩都没有定义,它的众数与中值有定义都等于 x0。
取 X 表示柯西分布随机变量,柯西分布的特性函数表示为:
如果 U 与 V 是期望值为 0、方差为 1 的两个独立正态分布随机变量的话,那么比值 U/V 为柯西分布。
如果 X1, …, Xn 是分别符合柯西分布的相互独立同分布随机变量,那么算术平均数
有同样的柯西分布。为了证明这一点,我们来计算采样平均的特性函数:
其中,
是采样平均值。这个例子表明不能舍弃中心极限定理中的有限变量假设。
免责声明:本内容来源于第三方作者授权、网友推荐或互联网整理,旨在为广大用户提供学习与参考之用。所有文本和图片版权归原创网站或作者本人所有,其观点并不代表本站立场。如有任何版权侵犯或转载不当之情况,请您通过400-62-96871或关注我们的公众号与我们取得联系,我们将尽快进行相关处理与修改。感谢您的理解与支持!







请先 登录后发表评论 ~