秩和检验
秩和检验(Rank sum test)
什么是秩和检验
秩和检验方法最早是由维尔克松提出,叫维尔克松两样本检验法。后来曼—惠特尼将其应用到两样本容量不等(
)的情况,因而又称为曼—惠特尼U检验。这种方法主要用于比较两个独立样本的差异。
1、假设中的等价问题
设有两个连续型总体, 它们的概率密度函数分别为:
f1(x),f2(x)(均为未知)
已知f1(x) = f2(x − a),a为末知常数,要检验的各假设为:
- H0:A = 0,H1:a < 0.
- H0:A = 0,H1:a > 0.
.
设两个总体的均值存在,分别记为μ1,μ2,由于f1,f2最多只差一平移,则有μ2 = μ1 − a。此时, 上述各假设分别等价于:
- H0:μ1 = μ2,H1:μ1 < μ2
- H0:μ1 = μ2,H1:μ1 > μ2
2、秩的定义
设X为一总体,将容量为n的样本观察值按自小到大的次序编号排列成x(1) < x(2) < Λ < x(n),称x(i)的足标i为x(i)的秩,i = 1,2,Λ,n。
例如:某施行团人员的行李重量数据如表:
写出重量33的秩。
因为28<33<34<39<41,故33的秩为2。
特殊情况:
如果在排列大小时出现了相同大小的观察值, 则其秩的定义为足标的平均值。
例如: 抽得的样本观察值按次序排成0,1,1,1,2,3,3,
- 则3个1的秩均为
,
- 两个3的秩均为
.
3、秩和的定义
现设1,2两总体分别抽取容量为n1,n2的样本,且设两样本独立。这里总假定
。
我们将这n1 + n2个观察值放在一起,按自小到大的次序排列,求出每个观察值的秩,然后将属于第1个总体的样本观察值的秩相加,其和记为R1,称为第1样本的秩和,其余观察值的秩的总和记作R2,称为第2样本的秩和。
显然,R1和R2是离散型随机变量,且有
4、秩和检验法的定义
秩和检验是一种非参数检验法, 它是一种用样本秩来代替样本值的检验法。
用秩和检验可以检验两个总体的分布函数是否相等的问题
秩和检验的适用范围
如果两个样本来自两个独立的但非正态或形态不清的两总体,要检验两样本之间的差异是否显著,不应运用参数检验中的T检验,而需采用秩和检验。
秩和检验的方法
1、两个样本的容量均小于10的检验方法
检验的具体步骤:
第一步:将两个样本数据混合并由小到大进行等级排列(最小的数据秩次编为1,最大的数据秩次编为n1 + n2)。
第二步:把容量较小的样本中各数据的等级相加,即秩和,用T表示。
第三步:把T值与秩和检验表中某α显著性水平下的临界值相比较,如果T1 < T < T2,则两样本差异不显著;如果
或
,则表明两样本差异显著。
例:某年级随机抽取6名男生和8名女生的英语考试成绩如表1所示。问该年级男女生的英语成绩是否存在显著差异?
男、女生英语考试成绩表
解:检验步骤:
(1)建立假设:
- H0:男女生的英语成绩不存在显著差异
- H1:男女生的英语成绩存在显著差异
(2)编排秩次,求秩和:
T= 13 + 7 + 14 + 12 + 5.5 + 11= 62.5
(3)统计推断:根据n1 = 6,n2 = 8,α = 0.05, 查秩和检验表,T的上、下限分别为T1 = 29,T2 = 61,有T > T2,结论是:男女生的英语成绩存在显著差异。
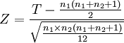
3、两个样本的容量均大于10的检验方法
当两个样本容量都大于10时,秩和T的分布接近于正态分布,因此可以用Z检验,其基本公式为:
式中:T为较小的样本的秩和。
例:某校演讲比赛后随即抽出两组学生的比赛成绩如表2,问两组成绩是否有显著差异?
解:检验步骤:
(1)建立假设:
- H0:两组成绩不存在显著差异
- H1:两组成绩存在显著差异
(2)编排秩次,求秩和:
n1 = 12,n2 = 14,T = 144.5,代入公式,有:
(3)统计推断:因为|Z|<1.96,则应保留虚无假设,拒绝备择假设。结论是:两组的演讲比赛成绩不存在显著差异。
免责声明:本内容来源于第三方作者授权、网友推荐或互联网整理,旨在为广大用户提供学习与参考之用。所有文本和图片版权归原创网站或作者本人所有,其观点并不代表本站立场。如有任何版权侵犯或转载不当之情况,请您通过400-62-96871或关注我们的公众号与我们取得联系,我们将尽快进行相关处理与修改。感谢您的理解与支持!







请先 登录后发表评论 ~