游程检验
游程检验(Runs test)
什么是游程检验
游程检验亦称“连贯检验”,是根据样本标志表现排列所形成的游程的多少进行判断的检验方法。
设某样本n=12人的标志表现为男、女,有以下三种排列。
- (i) 男\男,女\女\女,男,女\女,男\男\男\男
- (ii) 男\男\男\男\男\男\男,女\女\女\女\女
- (iii)男,女,男,女,男,女,男,女,男,女,男\男
连续出现男或女的区段称为游程。
每个游程包含的个数为游程长度。以r表示序列中游程的个数:
(i)r=5, (ii)r=2, (iii)r=11
可以看出,(i)是随机性序列;(ii)(iii)是非随机性序列,所以,可以用游程的个数来检验样本的随机性,或总体的分布特征。
游程检验方法
1、检验总体分布是否相同
将从两个总体中独立抽取的两个样本的观察值混合后,观察游程个数,进行比较。
2、检验样本的随机性
将取自某一总体的样本的观察值按从小到大顺序排列,找出中位数(或平均数),分为大于中位数的小于中位数的两个部分。用上下交错形成的游程个数来检验样本是否是随机的。
3、检验规则(小样本。n<20)
应用表La和Lb,(α=0.05,r为临界值)
1)单侧检验:
观察到的游程个数r0≤临界值(La表)或r0≥临界值(Lb表),否定H0;反之,接受H0。
2)双侧检验:
观察到的游程个数r0
- r(La)<ro<r(Lb),接受Ho
- 下限 上限
反之,拒绝H0
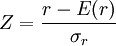
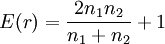
4、大样本(n1或n2大于20)
游程个数r近似正态分布,检验统计量
- 其中:
-
免责声明:本内容来源于第三方作者授权、网友推荐或互联网整理,旨在为广大用户提供学习与参考之用。所有文本和图片版权归原创网站或作者本人所有,其观点并不代表本站立场。如有任何版权侵犯或转载不当之情况,请您通过400-62-96871或关注我们的公众号与我们取得联系,我们将尽快进行相关处理与修改。感谢您的理解与支持!







请先 登录后发表评论 ~