相对误差
相对误差(Relative Error)
什么是相对误差
相对误差指的是测量所造成的绝对误差与被测量(约定)真值之比乘以100%所得的数值,以百分数表示。一般来说,相对误差更能反映测量的可信程度。设测量结果y减去被测量约定真值t,所得的误差或绝对误差为Δ。将绝对误差Δ除以约定真值t即可求得相对误差。
相对误差则是绝对误差与真值的比值,因此它是一个百分数。一般来说,相对误差更能反映测量的可信程度。相对误差等于测量值减去真值的差的绝对值除以真值,再乘以百分之一百。
例如,测量者用同一把尺子测量长度为1厘米和10厘米的物体,它们的测量值的绝对误差显然是相同的,但是相对误差前者比后者大了一个数量级,表明后者测量值更为可信。
相对误差的类别[1]
绝对误差是既指明误差的大小,又指明其正负方向,以同一单位量纲反映测量结果偏离真值大小的值,它确切地表示了偏离真值的实际大小。
相对误差是指“测量的绝对误差与被测量的真值之比”,即该误差相当于测量的绝对误差占真值(或给出值)的百分比或用数量级表示,它是一个无量纲的值。有的计量器具从实际使用的需要出发,为了确定其准确度或允许误差,往往用引用误差和分贝误差来表示。
引用误差是指绝对误差与特定值(测量范围上限值或量程)之比,值以百分数表示,它是相对误差的另一种表达形式。
分贝误差是无线电、声学等计量器具中经常用来表示相对误差的一种表达形式。将上述归纳起来就是相对误差的类别:
①实际相对误差;
②给出值相对误差;
③引用误差;
④分贝误差。
相对误差的计算

相对误差的计算比绝对误差计算要复杂得多。如果将相对误差的计算分为三步,即先计算数据组的算术平均值,再计算极差,最后计算相对误差,问题就简单了。[2]
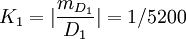
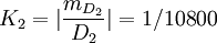
例如丈量了两段距离,其结果分别为D1=51.852m,D2=108.836m,它们的中误差为
=
=±10mm。虽然两者的中误差相同,但两者的丈量精度是不同的。经计算:

很显然,第二段距离的测量精度要高。特别说明一下,计算结果K1=1/5185,但不能写成K1=1/5200,因为实测精度低于1/5200。测量规范中也规定有相对误差的限值,这些限值称为容许相对误差。[3]
相关条目
- 误差
- 绝对误差
- 系统误差
- 随机误差
参考文献
免责声明:本内容来源于第三方作者授权、网友推荐或互联网整理,旨在为广大用户提供学习与参考之用。所有文本和图片版权归原创网站或作者本人所有,其观点并不代表本站立场。如有任何版权侵犯或转载不当之情况,请您通过400-62-96871或关注我们的公众号与我们取得联系,我们将尽快进行相关处理与修改。感谢您的理解与支持!







请先 登录后发表评论 ~