相对标准偏差
相对标准偏差(Relative standard deviation)
什么是相对标准偏差
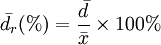
相对标准偏差是指标准偏差占平均值的百分率。平均偏差和相对平均偏差都是正值,即:
相对标准偏差的例子
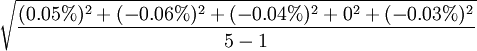
例:测定某铁矿石试样中Fe2O3的质量分数,5次平行测定结果分别为62.48%、62.37%、62.47%、62.43%、62.40%。求测定结果的平均值、标准偏差和相对标准偏差。
解:测定结果的平均值为:
- =62.43%
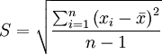
测定结果的标准偏差为:
- =0.05%
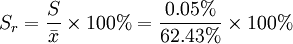
测定结果的相对标准偏差为:
- =0.08%
相关条目
- 偏差
- 绝对偏差
- 标准偏差
- 平均偏差
- 相对偏差
免责声明:本内容来源于第三方作者授权、网友推荐或互联网整理,旨在为广大用户提供学习与参考之用。所有文本和图片版权归原创网站或作者本人所有,其观点并不代表本站立场。如有任何版权侵犯或转载不当之情况,请您通过400-62-96871或关注我们的公众号与我们取得联系,我们将尽快进行相关处理与修改。感谢您的理解与支持!







请先 登录后发表评论 ~