成新折扣法
什么是成新折扣法[1]
成新折扣法是根据建筑物的建成年代、新旧程度等,确定建筑物的成新率,直接求取建筑物的现值。其计算式为
V = Cq
式中q——建筑物的成新率(%)。
成新折扣法适用于同时需要对大量建筑物进行估价的场合,尤其是进行建筑物现值调查统计,但比较粗略,无法根据建筑物的具体使用、保养情况进行调整。
成新折扣法的计算[1]
在估价实务中,成新率是一个综合指标,其求取可以采用“先定量,后定性,再定量”的方式按以下三个步骤进行:
1)根据
和V = Cq,得到直线折旧法计算成新率的公式为
式中,n——为建筑物的剩余经济寿命,
C——建筑物的重新构建价格;
N——建筑物的经济寿命;
R——预计的建筑物的残值率,是净残值与重新构建价格的比率,即R=S/C。
当R=0时,有
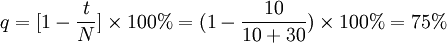
例如:有一座10年前建成交付使用的建筑物,经估价人员实地观察判定其剩余经济寿命为30年,该建筑物的残值率为零。试用直线法计算该建筑物的成新率。
解:根据公式,建筑物的成新率q为
2)根据建筑物的建成年代对上述计算结果进行初步判断,看是否吻合。
3)采用实际观察法对上述结果进行进一步的调整修正,并说明上下调整修正的理由。当建筑物的维修保养属于正常的,实际成新率与直线法计算出的成新率相当;当建筑物的维修保养比正常维修保养好或经过更新改造的,实际成新率应大于直线法计算出的成新率;当建筑物的维修保养比正常维修保养差的,实际成新率应小于直线法计算出的成新率。
相关条目
- 耐用年限法
- 实际观察法
- 市场提取法
参考文献
免责声明:本内容来源于第三方作者授权、网友推荐或互联网整理,旨在为广大用户提供学习与参考之用。所有文本和图片版权归原创网站或作者本人所有,其观点并不代表本站立场。如有任何版权侵犯或转载不当之情况,请您通过400-62-96871或关注我们的公众号与我们取得联系,我们将尽快进行相关处理与修改。感谢您的理解与支持!







请先 登录后发表评论 ~