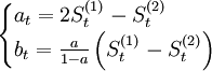
二次指数平滑法的计算
线性二次指数平滑法的公式为:
(1)
式中:
分别为t期和t–1期的二次指数平滑值;a为平滑系数。在
和
已知的条件下,二次指数平滑法的预测模型为:
(2)

(3)
T为预测超前期数
免责声明:本内容来源于第三方作者授权、网友推荐或互联网整理,旨在为广大用户提供学习与参考之用。所有文本和图片版权归原创网站或作者本人所有,其观点并不代表本站立场。如有任何版权侵犯或转载不当之情况,请您通过400-62-96871或关注我们的公众号与我们取得联系,我们将尽快进行相关处理与修改。感谢您的理解与支持!







请先 登录后发表评论 ~