非转换价值
什么是非转换价值[1]
非转换价值是指在可转换债券持有人不行使转换权或发行者不行使强制赎回权时,该债券所具有的原有一般债券的价值。它又称为可转换债券底价,即可转换债券市价的低限,它等于普通公司债的市价。
非转换价值的计算公式[1]
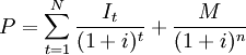
根据债券评价基本模式,其计算公式为:
式中:P为非转换债券价值;It为债券每年利息额;M为债券到期日本金(面值);i为贴现率,即投资者要求的最低报酬率;n为可转换债券尚余的期限(年)。
[案例]某可转换公司债券面值为1000元,期限10年,名义利率10%,市场平均利率为9%,转换价格为50元,则:
= 1064(元)
由于债券名义利率高于市场平均利率,故其市价高于面值,这意味着可转换债券的最低价值为1064元,即使普通股市价下降,该债券也可与一般债券一样按该底价进行交易。显然,可转换债券非转换价值与普通股市价无关。
相关条目
- 转换价值
- 期权价值
参考文献
免责声明:本内容来源于第三方作者授权、网友推荐或互联网整理,旨在为广大用户提供学习与参考之用。所有文本和图片版权归原创网站或作者本人所有,其观点并不代表本站立场。如有任何版权侵犯或转载不当之情况,请您通过400-62-96871或关注我们的公众号与我们取得联系,我们将尽快进行相关处理与修改。感谢您的理解与支持!







请先 登录后发表评论 ~