债券理论价格
什么是债券理论价格
债券理论价格是指投资者为获得债券在未来一定时期内的利息收入而在理论上应支付的价格。
三种债权理论价格的不同表示方式[1]
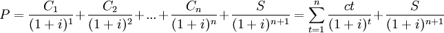
(一)按年支付利息、到期一次还本债券的理论价格这种债券通常称为剪息债券或附息票债券。这种债券的持有者在债券期限内,每年可取的按票面利率和面值计算的固定利息额,债券到期时,按票面金额收回原购买债券所支付的价款。这种债券的理论价格可用下述公式表示:
式中:P为债券的理论价格;
ct为第t年债券持有者可以预期得到的利息收入;
i为债券持有者要求达到的实际收益率;
S为第n+1年出售债券预期收入或债券到期应收回的价款;
n为债券持有者持有债券的期限。
上述公式表明,剪息债券的理论价格由两部分构成:
一是债券持有者在持有期内各期利息收入的现值;
二是在某年出售陔债券所得收入的现值或到期应当按面值收回的价款的现值。
(二)到期一次还本付息债券的理论价格这种债券是现寸最常见的一种债券,债券持有者按发行价格或转让价格取得,到期时一次收回债券本息。其理论价格可表示为:
式中:P为债券的理论价格;
S为债券到期应收回的本息之和,或称债券期值;
i为债券持有者要求达到的实际收益率;
n为债券的待偿期限。
上述公式表明,该种债券的理论价格,是为其持有者带来的未来预期收入的现值,待偿期限越长,债券理论价格也就越高。
(三)贴现债券的理论价格贴现债券又称贴水债券,债券持有者按低于面值的价格购得债券,到期按面值收回价款。其理论价格可表示为:
式中:P为债券的理论价格;S为债券的面值;i为债券持有者要求达到的实际收益率;n为债券待偿期限。
上述公式与到期一次还本时债券的表示方法相似,所不同的是,由于贴现债券是按低于面值的价格发行的,因而贴现债券的期值即为债券的面值。
债权理论价格的决定变量
由上述三种债券的理论价格的计算可以看出,债券理论价格的确定取决于三个因素,即债券的期值、债券期限和债券收益率。
(1)债券期值,即债券到期时的总价值或总收入,包括奉金和利息两部分。
(2)债券期限。债券期限有两种,一种是有效期限,指的是债券发行日至帚终偿还日止的这段时间,另一种是待偿期限,指的是债券进入交易市场·后由本次交易起日至最终偿还日止的这段时间,决定债券交易价格的期限即指待偿期限。
(3)利率水平,这是指债券市场上绝大多数买卖双方都能接受的债券收益水平。
参考文献
- ↑ 陈尊厚.证券投资原理(M).四川:西南财经大学出版社,1998年02月.
免责声明:本内容来源于第三方作者授权、网友推荐或互联网整理,旨在为广大用户提供学习与参考之用。所有文本和图片版权归原创网站或作者本人所有,其观点并不代表本站立场。如有任何版权侵犯或转载不当之情况,请您通过400-62-96871或关注我们的公众号与我们取得联系,我们将尽快进行相关处理与修改。感谢您的理解与支持!







请先 登录后发表评论 ~