平均差
平均差(Mean Deviation,MD,average deviation)
什么是平均差
平均差是总体各单位标志对其算术平均数的离差绝对值的算术平均数。它综合反映了总体各单位标志值的变动程度。平均差越大,则表示标志变动度越大,反之则表示标志变动度越小。
平均差的计算
在资料未分组的情况下,平均差的计算公式为:
采用标志值对算术平均数的离差绝对值之和,是因为各标志值对算术平均数的离差之代数和等于零。以甲组学生数学成绩为例:
甲组:60,70,80,90,100
计算平均差如下:
(分)
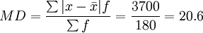
在资料已分组的情况下,要用加权平均差公式:
例:某厂按月收入水平分组的组距数列如表中前两列,计算平均差。
解:根据公式列表计算,得到
(元)
由于平均差采用了离差的绝对值,不便于运算,这样使其应用受到了很大限制。
免责声明:本内容来源于第三方作者授权、网友推荐或互联网整理,旨在为广大用户提供学习与参考之用。所有文本和图片版权归原创网站或作者本人所有,其观点并不代表本站立场。如有任何版权侵犯或转载不当之情况,请您通过400-62-96871或关注我们的公众号与我们取得联系,我们将尽快进行相关处理与修改。感谢您的理解与支持!







请先 登录后发表评论 ~